新闻动态
Sci. Adv 文献速览 [实验+计算]: 反铁磁 VCl3中的铁电
2025-07-19
题目、链接

doi.org/10.1126/sciadv.ado6538
背景
在现代电子器件不断追求小型化的趋势下,二维多铁材料因其在单一材料中集成铁电性和磁性而备受关注。然而,在二维极限下实现铁电性和磁性的共存仍然是一个巨大的挑战。尽管已有研究在二维范德瓦尔斯材料中分别实现了磁序或铁电序,但能同时具备这两种特性的材料却极为罕见。此前,研究者们通过理论预测和实验探索,发现了一些可能具有多铁性的二维材料,但确凿的实验证据一直未能得到充分展示。因此,寻找并验证二维材料中铁电性和磁性共存的现象,对于推动新型电子器件的发展具有重要意义。
主要内容
本研究通过在NbSe2衬底上外延生长单层VCl3,成功实现了二维磁性材料中铁电性和反铁磁序的共存。研究团队利用扫描隧道显微镜(STM)和扫描隧道谱(STS)技术,直接观察到了VCl3单层中的铁电畴,并操控了其畴壁。同时,通过振动样品磁强计(VSM)测量确认了VCl3单层中存在具有倾斜磁矩的条纹反铁磁序。密度泛函理论(DFT)计算进一步揭示了NbSe2与VCl3界面上高度方向性的Cl-Se相互作用在破坏晶体对称性以及引入面内铁电性方面所起的关键作用。
图文解析

图1:展示了在NbSe2衬底上生长的VCl3单层的形貌和原子结构。STM图像显示了VCl3单层的厚度约为5.6 Å,并呈现出与预期不同的原子结构特征,如椭圆形突起和三角形晶格,这些特征表明晶体结构发生了显著畸变。

图2:揭示了VCl3单层中的铁电畴壁。图像显示了两种类型的畴壁(DW-S和DW-I),其原子结构和电子态表现出明显差异。通过能量色散分析,发现DW-S附近的能带向上弯曲,而DW-I附近则相反,这种能带弯曲表明了铁电极化导致的电荷积累和耗尽,为面内铁电性的存在提供了有力证据。

图3:呈现了VCl3单层的磁性测量结果。M-T曲线显示了在16 K的反铁磁转变温度,M-H测量结果支持了条纹反铁磁序的存在。DFT计算进一步确定了双条纹反铁磁序在xz平面内的磁各向异性,与实验结果一致,揭示了VCl3单层中磁矩的取向和磁各向异性。

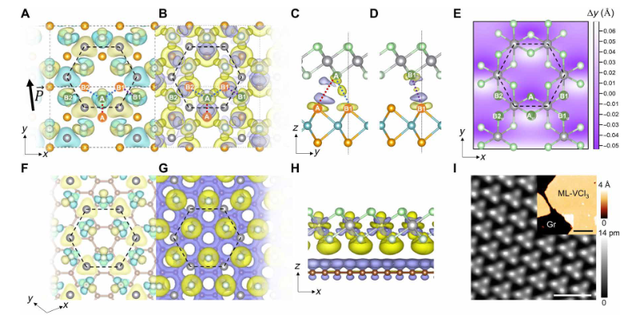
图4:比较了VCl3在NbSe2和石墨烯衬底上的界面相互作用及其对铁电性的影响。结果显示,在NbSe2衬底上,由于方向性Cl-Se相互作用,破坏了晶体对称性,导致面内铁电性的产生。而在石墨烯衬底上,由于界面相互作用的各向同性,未观察到明显的铁电极化和畴结构,证实了界面工程在诱导铁电性方面的重要性。
主要结论
本研究首次在二维范德瓦尔斯单层材料VCl3中实现了铁电性和反铁磁序的共存,并通过实验和理论计算揭示了其背后的物理机制。研究表明,通过精确控制范德瓦尔斯界面处的相互作用,可以有效操纵二维磁性材料中的铁电状态,为设计和构建新型多功能二维电子器件提供了一种新的策略。这一成果不仅丰富了二维多铁材料的研究领域,也为未来开发高性能、低功耗的自旋电子学器件提供了重要的材料基础和理论指导。